Reprezentarea graficului unei functii reale de variabila reala Autor: Ion Otarasanu Descriere: articol pentru Clasa a XI-a publicat in data de 27 Mar 2008, nivel de dificultate . Etapele reprezentarii graficului unei functii reale de variabila reala. Exemple detaliate. Domenii: ---
4. "Etapa limitelor"
:
a) Se calculează limitele la capetele lui 
b) Se precizează continuitatea funcţiei
c) Se determină asimptotele lui 
5. Studiul derivatei întâi
:
Există două situaţii mari:
A. Funcţia este definită printr-o singură formulă (fără acoladă), caz în care:
a) Se calculează 
b) Se rezolvă ecuaţia (dacă este posibil)
c) Se precizează semnul lui şi implicit intervalele de monotonie şi eventualele puncte de extrem.
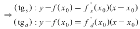
B. Dacă funcţia este definită pe ramuri:
iar este un punct de continuitate, mai întâi, se cercetează derivabilitatea în 
Pot să apară următoarele situaţii:
a) (finite), caz în care este derivabilă în şi are valoarea comună a derivatelor laterale;
b) şi ambele sunt finite sau una din ele este finită, iar cealaltă infinită, atunci nu este derivabilă în dar este punct unghiular al .
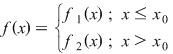
În asemenea situaţie se scriu ecuaţiile semitangentelor la în anume:
|