Reprezentarea graficului unei functii reale de variabila reala Autor: Ion Otarasanu Descriere: articol pentru Clasa a XI-a publicat in data de 27 Mar 2008, nivel de dificultate . Etapele reprezentarii graficului unei functii reale de variabila reala. Exemple detaliate. Domenii: ---
2. Se cercetează paritatea - imparitatea şi periodicitatea funcţiei
i. Paritatea - imparitatea se cercetează numai dacă domeniul maxim de definiţie este o mulţime simetrică faţă de origine, adică:
situaţie în care:
a) pară şi în acest caz este simetric faţă de axa ordonatelor;
b) impară şi în acest caz este simetric faţă de axa coordonatelor.
ii. Funcţia este periodică dacă:
astfel încât şi şi în acest caz se reprezintă numai pe un interval de lungime egală cu cea a perioadei 
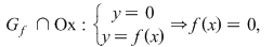
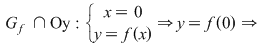
3. Se determină (dacă există!) punctele de intersecţie ale cu axele de coordonate, adică se rezolvă sistemele:
Dacă ecuaţia nu are rădăcini sau acestea nu sunt în , atunci 
cu precizarea că, dacă atunci 
|