Home | Autentificare     
Experior LogoMath Logo

Reprezentarea graficului unei functii reale de variabila reala


Autor: Ion Otarasanu
Descriere: articol pentru Clasa a XI-a publicat in data de 27 Mar 2008, nivel de dificultate Dificultate.
Etapele reprezentarii graficului unei functii reale de variabila reala. Exemple detaliate.
Domenii: ---

Math formula

Math formula

Math formula

Math formula

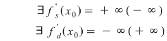
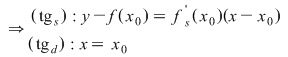
c)Math formula caz în care Math formula nu este derivabilă în Math formuladar Math formula este punct de întoarcere al Math formula.

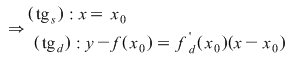
d)Math formula caz în care Math formula nu este derivabilă în Math formuladar are derivată în Math formula şi Math formula este punct de inflexiune al Math formula.

După ce am stabilit domeniul de derivabilitate Math formula, se procedează ca la A.

6. Studiul derivatei a doua :

a) Se calculează Math formula

b) Se rezolvă (dacă este posibil!) ecuaţia Math formula

c) Se stabileşte semnul lui Math formula şi implicit se precizează intervalele de convexitate - concavitate şi eventuale puncte de inflexiune.


Pagina 4 din 12 « Pagina anterioara        Pagina urmatoare »