Inecuatii si sisteme de inecuatii de gradul al II-lea Autor: Dana Schiopu Descriere: articol pentru Clasa a IX-a publicat in data de 14 Apr 2008, nivel de dificultate . Exemple de rezolvari de inecuatii de gradul doi si de sisteme de inecuatii de gradul doi. Domenii: ---
Soluţie:
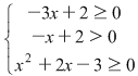
Sistemul este echivalent cu sistemul de inecuaţii de gradul al doilea:
Mulţimea soluţiilor inecuaţiei este 
Mulţimea soluţiilor inecuaţiei este 
Mulţimea soluţiilor inecuaţiei este 
Atunci mulţimea soluţiilor sistemului este .
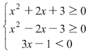
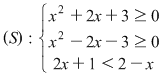
2. Să se rezolve sistemul de inecuaţii:
Soluţie:
Folosind proprietăţile inegalităţilor sistemul este echivalent cu sistemul de gradul al doilea
Mulţimea soluţiilor inecuaţiei este .
Mulţimea soluţiilor inecuaţiei este .
Mulţimea soluţiilor inecuaţiei este .
Atunci mulţimea soluţiilor sistemului este .
|