| |
 Optiuni Inapoi la biblioteca
|
Inecuatii si sisteme de inecuatii de gradul al II-lea Autor: Dana Schiopu Descriere: articol pentru Clasa a IX-a publicat in data de 14 Apr 2008, nivel de dificultate . Exemple de rezolvari de inecuatii de gradul doi si de sisteme de inecuatii de gradul doi. Domenii: ---
4. Să se rezolve inecuaţia 
Soluţie:
Această inecuaţie este echivalentă cu inecuaţia care este echivalentă la rândul ei cu inecuaţia 
Avem
Rădăcinile ecuaţiei sunt:
Tabelul semnului funcţiei este următorul:
Din acest tabel rezultă că mulţimea soluţiilor inecuaţiei date este 
II. SISTEME DE INECUAŢII DE GRADUL AL DOILEA
Prin sistem de inecuaţii de gradul al doilea se înţelege un sistem de inecuaţii în care cel puţin una dintre inecuaţii este de gradul la doilea, iar celelalte inecuaţii ce compun sistemul sunt de gradul întâi sau gradul al doilea.
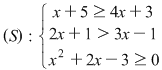
Exemple:
1. Să se rezolve sistemul de inecuaţii:
|
| |
| |