| |
 Optiuni Inapoi la biblioteca
|
Despre continuitatea functiilor Autor: Ion Otarasanu Descriere: articol pentru Clasa a XI-a publicat in data de 06 Feb 2008, nivel de dificultate . Continuitatea functiilor: scurt istoric. Punct de acumulare: definitie, exemple.Punct izolat, definitie, exemple. Definitii ale limitei unei functii intr-un punct. Definitia continuitatii unei functii intr-un punct,exemple, tipuri de probleme. Domenii: ---
III.Tipuri de probleme
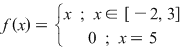
1. Să se arate că funcţia : , definită prin: este continuă în 5.
Soluţie : 5 este un punct izolat, deci este continuă în 5.
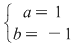
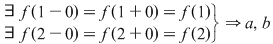
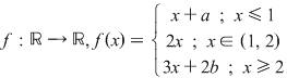
2. Determinaţi , astfel încât
să fie continuă în 1 şi 2.
Soluţie :
anume 
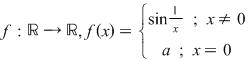
3.Arătaţi că funcţia:
este discontinuă în 0,
Soluţie :
Deoarece NU există este discontinuă în 0
|
| |
| |