| |
 Optiuni Inapoi la biblioteca
|
Despre continuitatea functiilor Autor: Ion Otarasanu Descriere: articol pentru Clasa a XI-a publicat in data de 06 Feb 2008, nivel de dificultate . Continuitatea functiilor: scurt istoric. Punct de acumulare: definitie, exemple.Punct izolat, definitie, exemple. Definitii ale limitei unei functii intr-un punct. Definitia continuitatii unei functii intr-un punct,exemple, tipuri de probleme. Domenii: ---
II. Definiţia continuităţii unei funcţii într-un punct
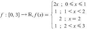
Se poate pleca de la următorul exemplu:
al cărei grafic este
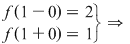
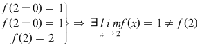
Se vede că "se întrerupe" în 1 şi 2.
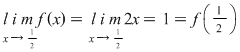
Pentru : 
NU există 
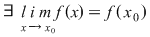
Aceste considerente ne conduc la următoarele :
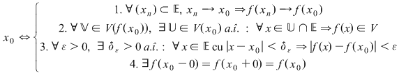
DEF.1: continuă în dacă şi numai dacă  
PRECIZĂRI:
a) Dacă este un punct izolat al lui , atunci este continuă în deoarece pentru:
astfel încât şi 
b) Nu se pune problema continuităţii într-un punct care NU este în domeniul de definiţie al funcţiei.
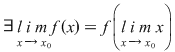
c) Dacă găsim:
f este continuă în 
Dacă şi , dar NU este continuă în , atunci se numeşte punct de discontinuitate de prima speţă , iar punctele de discontinuitate care NU sunt de prima speţă se numesc puncte de discontinuitate de speţa a doua.
|
| |
| |