   Optiuni   Inapoi la biblioteca    Da un Test Nou  
                             | 
                            
                                Aplicatii ale integralei definite Autor: Dana Schiopu Descriere: articol pentru Clasa a XII-a publicat in data de 25 Feb 2008, nivel de dificultate  . Calculul ariilor multimilor cuprinse intre doua curbe: definirea ariei unei multimi din plan ca limita unui sir de arii de reuniuni finite de dreptunghiuri, aria subgraficului unei functii continue si pozitive este egala cu integrala Riemann a acelei functii, demonstratie; aria multimii determinate de graficele a doua functii continue egala cu integrala Riemann a modulului diferentei celor doua functii, exemple. Volumul corpurilor de rotatie: definirea volumului unui corp de rotatie ca limita unui sir de volume de reuniuni finite de cilindrii plini; volumul unui corp de rotatie determinat de o functie continua este egal cu integrala Riemann a patratului acelei functii inmultita cu constanta pi, demonstratie; volumul unui corp de rotatie marginit de suprafetele obtinute prin rotatia graficelor a doua functii continue este egal cu integrala Riemann a diferentei patratelor celor doua functii inmultita cu constanta pi, exemple. Lungimea graficului unei functii derivabile cu derivate continua: definirea lungimii graficului unei functii derivabile cu derivate continua ca limita a lungimilor liniilor poligonale ce au varfurile pe grafic si teorema de calcul al acestei lungimi cu demonstratie; exemple. Aria suprafetelor de rotatie: definirea ariei suprafetei de rotatie a graficului unei functii continue si pozitive ca limita unui sir de arii ale suprafetelor de rotatie a liniilor poligonale corespunzatoare si teorema de calcul a acestei arii cu demonstratie, exemple. Domenii: Aplicatii ale integrabilei Riemann
                                 
                                
      Definiţia 2. Spunem că o mulţime mărginită   din plan are arie dacă există două şiruri   şi   de elemente din   astfel încât: 
    1)  , pentru orice  ; 
    2) Şirurile  ,   sunt convergente şi  . În acest caz, definim aria mulţimii   astfel: 
    
        . 
    
    
      Observaţii: Fie   şi   două mulţimi mărginite din plan. 
    1. Definiţia ariei mulţimii   nu depinde de şirurile   şi  . Mai exact, dacă   şi   sunt alte două şiruri cu elemente din   ce satisfac condiţiile 1) şi 2) din definiţia 2., atunci   
    
        . 
    2. Dacă   şi   au arie, atunci   şi   au arie. În plus, dacă  , atunci   şi  . 
    
    
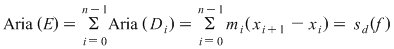
      Teorema 1: Fie   o funcţie continuă şi pozitivă, unde   cu  .Atunci  , subgraficul funcţiei  , are arie şi  . 
    
    Demonstraţie: 
    Fie   o diviziune a intervalului  , iar   şi   sumele Darboux corespunzătoare acestei diviziuni, adică: 
    
        ,  , unde  , iar   
    În particular, avem că  . 
    Produsul   reprezintă aria dreptunghiului cu baza intervalul   şi înălţime  , dreptunghi ce este complet conţinut în mulţimea  . 
    Să notăm cu   acest dreptunghi şi cu  . Este clar că   este o mulţime din   şi  . 
                                 
                                
                                
 Bibliografie
 | 1. Manual pentru clasa a XII-a - Nastasescu C., Nita C., Grigore Gh., Burlacu D. - Editura: Didactica si Pedagogica |  | 2. Elemente de analiza matematica vol. I - Ganga M. - Editura: MathPress |   
                             |