| |
 Optiuni Inapoi la biblioteca
|
Subsiruri Autor: Iulia Liberis Descriere: articol pentru Clasa a XI-a publicat in data de 28 Mai 2008, nivel de dificultate . Domenii: ---
Exemplu:
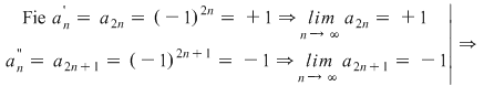
Fie şirul 
are subşirurile şi cu limite diferite nu are limită 
este şir divergent.
2) Dacă un şir conţine un subşir fără limită, atunci nici şirul nu are limită.
|
| |
| |