| |
 Optiuni Inapoi la biblioteca
|
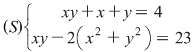
Sisteme de ecuatii simetrice Autor: Iulia Liberis Descriere: articol pentru Clasa a IX-a publicat in data de 09 Iul 2008, nivel de dificultate . Rezolvarea sistemelor simetrice de grad doi; rezolvarea sistemelor echivalente in necunoscutele suma si produs; exemple. Domenii: ---
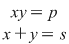
Exemplu:
Soluţie:
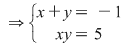
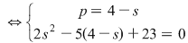
este echivalent cu sistemul:

I. sunt rădăcinile ecuaţiei 
nu are soluţii reale
|
| |
| |