| |
 Optiuni Inapoi la biblioteca
|
Reprezentarea graficului unei functii reale de variabila reala Autor: Ion Otarasanu Descriere: articol pentru Clasa a XI-a publicat in data de 27 Mar 2008, nivel de dificultate . Etapele reprezentarii graficului unei functii reale de variabila reala. Exemple detaliate. Domenii: ---
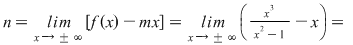
deci putem pune problema existenţei asimptotelor oblice:
spre 
asimptotă oblică spre şi 
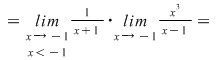
asimptotă verticală la stânga şi la dreapta
|
| |
| |