| |
 Optiuni Inapoi la biblioteca
|
Metoda matriceala de rezolvare a sistemelor liniare de n ecuatii cu n necunoscute Autor: Iulia Liberis Descriere: articol pentru Clasa a XI-a publicat in data de 02 Mai 2008, nivel de dificultate . Metoda matriceala de rezolvare a sistemelor liniare, descriere si algoritm. Exemple. Domenii: ---
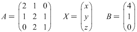
coloana termenilor liberi
Deoarece şi 
sistemul poate fi scris: 
Deoarece 
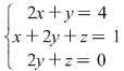
Exemplu:
Soluţie:
|
| |
| |