Home | Autentificare     
Experior LogoMath Logo

Interpretarea geometrica a modulului unui numar complex


Autor: Iulia Liberis
Descriere: articol pentru Clasa a X-a publicat in data de 14 Apr 2008, nivel de dificultate Dificultate.
Interpretarea geometrica a modulului unui numar complex. Descrierea cercului, discului, coroanei circulare cu ajutorul modulului. Exemple.
Domenii: ---

În triunghiul Math formulase aplică PitagoraMath formula

Math formula

Math formula Modulul numărului complex Math formula este lungimea segmentului Math formula unde Math formula este imaginea geometrică a lui Math formula.

Altfel spus: modulul lui Math formula este modulul vectorului de poziţie a imaginii geometrice a lui Math formula.

Exemple:

Determinaţi punctele din planul Math formula de afix Math formula pentru care:

a) Math formula

Soluţie:

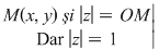
Fie Math formula care are imaginea geometrică

Math formula Math formula


Pagina 2 din 4 « Pagina anterioara        Pagina urmatoare »

Bibliografie


1. Manual pentru clasa a X-a - Ganga M.