Home | Autentificare     
Experior LogoMath Logo

Impartirea segmentului AB in raportul lambda si mijlocul unui segment


Autor: Iulia Liberis
Descriere: articol pentru Clasa a IX-a publicat in data de 14 Apr 2008, nivel de dificultate Dificultate.
Impartirea unui segment intr-un raport dat: egalitate vectoriala. Exemple: mijlocul unui segment. Aplicatii: identitatea paralelogramului, centrul de greutate al unui triunghi.
Domenii: ---

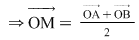
Corolar. Dacă Math formula este mijlocul segmentului Math formula

Math formula.

Aplicaţii:

1. Fie Math formula cu Math formula mijlocul laturii Math formulaşi Math formulamijlocul laturii Math formula. Atunci Math formula şi Math formula (teorema de caracterizare a liniei mijlocii într-un triunghi.

Soluţie:

Figura 4

Din regula triunghiului Math formula

Math formula

Math formula

Math formula


Pagina 3 din 5 « Pagina anterioara        Pagina urmatoare »

Bibliografie


1. Manual pentru clasa a IX-a - Editura: Petrion