| |
 Optiuni Inapoi la biblioteca  Da un Test Nou
|
Functii integrabile - Partea II Autor: Dana Schiopu Descriere: articol pentru Clasa a XII-a publicat in data de 18 Feb 2008, nivel de dificultate . Criterii de integrabilitate: criteriul cu siruri de sume Riemann, demonstratie; proprietati ale functiilor integrabile si ale integralei, exemple; sume Darboux, definitie si proprietati; criteriul lui Darboux: demonstratie si exemple; aplicatii. Domenii: Functii integrabile Riemann
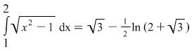
3) Să se arate că următoarea funcţie este integrabilă şi să se calculeze integrala ei.
Soluţie:
continuă pe , deci continuă pe integrabilă.
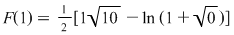
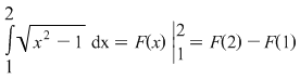
, unde 
Deci 
Materiale Didactice Asemanatoare
Functii integrabile - Partea I
Functii integrabile - Partea III
Functii integrabile - Partea IV
Functii integrabile - Partea V
Bibliografie
| 1. Manual pentru clasa a XII-a - Nastasescu C., Nita C., Grigore Gh., Burlacu D. - Editura: Didactica si Pedagogica | | 2. Manual pentru clasa a XII-a - Boboc N., Colojoara I. - Editura: Didactica si Pedagogica |
|
| |
| |