Home | Autentificare     
Experior LogoMath Logo

Functia exponentiala - aplicatii


Autor: Dana Schiopu
Descriere: articol pentru Clasa a X-a publicat in data de 14 Apr 2008, nivel de dificultate Dificultate.
Aplicatii ale functiei exponentiale: grafice de functii compuse de functii exponentiale, maxime si minime, inegalitati, monotonia si injectivitatea functiilor compuse de functii exponentiale.
Domenii: ---

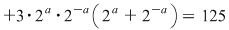
5. Dacă Math formula cu proprietatea Math formulaatunci să se calculeze Math formula şi Math formula

Soluţie:

Ridicând relaţia dată la pătrat şi apoi la cub obţinem:

Math formula iar de aici Math formula şi

Math formula

Math formula

Math formula

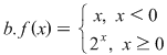
6. Studiaţi monotonia funcţiei Math formula în cazurile:

Math formula

Math formula

Soluţie:

a. Funcţia dată este suma a două funcţii Math formula Cum funcţiile Math formula sunt strict crescătoare (exponenţiale de bază supraunitară) atunci şi suma lor Math formula este de asemenea strict crescătoare.

b. Pentru studiul monotoniei unei astfel de funcţii se analizează monotonia ei în cele trei cazuri:

- pe Math formula restricţia lui Math formula este funcţia Math formulacare este strict crescătoare;

- pe Math formula restricţia lui Math formula este funcţia Math formulacare este strict crescătoare;

- pentru Math formula rezultă Math formula Aşadar funcţia Math formula este strict crescătoare pe Math formula


Pagina 4 din 8 « Pagina anterioara        Pagina urmatoare »