   Optiuni   Inapoi la biblioteca    Da un Test Nou  
                             | 
                            
                                Formula de integrare prin parti Autor: Dana Schiopu Descriere: articol pentru Clasa a XII-a publicat in data de 25 Feb 2008, nivel de dificultate  . Formula de integrare prin parti: teorema cu demonstratie; orice functie continua cu exceptia unui numar finit de puncte, in care are discontinuitati de prima speta, este integrabila, demonstratie, exemplu; teorema (formula de schimbare de variabila) cu demonstratie, exemple. Domenii: Functii integrabile Riemann
                                 
                                2. Tehnica dată de teoremă se reţine astfel: facem schimbarea de variabilă  , prin diferenţierea formală avem  . 
    3. Integrala din membrul drept al formulei   se face "de la   la  " putându-se întâmpla ca   sau ca  . 
    Astfel:   
    
       
     
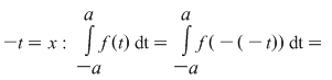
    4. Se ştie că dacă   este o funcţie integrabilă impară, atunci  . Având în vedere ipotezele teoremei pentru cazul în care funcţia   este continuă şi impară, rezultatul poate fi obţinut făcând schimbarea de variabilă: 
    
       
     
    
        , de unde rezultă că  . La fel se poate arăta că dacă   este continuă şi pară, atunci   şi deci  . 
    5. În unele exemple se observă direct prezenţa unor funcţii de integrat de forma  . În cele mai multe cazuri se încearcă obţinerea unei asemenea forme prin transformări elementare. Astfel, pentru calculul integralei   se scrie  . 
    Cu schimbarea de variabilă   se obţine  . 
                                 
                                
                                
 Bibliografie
 | 1. Manual pentru clasa a XII-a - Nastasescu C., Nita C., Grigore Gh., Burlacu D. - Editura: Didactica si Pedagogica |  | 2. Manual pentru clasa a XII-a - Boboc N., Colojoara I. - Editura: Didactica si Pedagogica |   
                             |