Home | Autentificare     
Experior LogoMath Logo

Coordonatele unui vector in plan


Autor: Iulia Liberis
Descriere: articol pentru Clasa a IX-a publicat in data de 14 Apr 2008, nivel de dificultate Dificultate.
Expresia analitica a unui vector; o conditia de coliniaritate a doi vectori; modulul (lungimea) unui vector. Aplicatii.
Domenii: ---

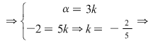
3. Să se determine Math formula astfel încât vectorii Math formula, Math formula să fie coliniari.

Soluţie:

Vectorii Math formula şi Math formula sunt coliniari Math formula astfel încât Math formula.

Math formula

Math formula

Math formula

Math formula

Math formula

Math formula


Pagina 4 din 4 « Pagina anterioara        Pagina urmatoare »