Home | Autentificare     
Experior LogoMath Logo

Formula de integrare prin parti


Autor: Dana Schiopu
Descriere: articol pentru Clasa a XII-a publicat in data de 25 Feb 2008, nivel de dificultate Dificultate.
Formula de integrare prin parti: teorema cu demonstratie; orice functie continua cu exceptia unui numar finit de puncte, in care are discontinuitati de prima speta, este integrabila, demonstratie, exemplu; teorema (formula de schimbare de variabila) cu demonstratie, exemple.
Domenii: Functii integrabile Riemann

Formula de integrare prin părţi

Teorema (formula de integrare prin părţi)

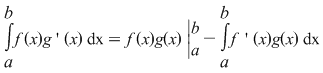
Dacă Math formula sunt funcţii derivabile şi cu derivatele continue, atunci:

Math formula.

Demonstraţie:

Funcţia Math formula este derivabilă şi Math formula.

Citim aceasta spunând că Math formula este o primitivă a funcţiei Math formula. Conform formulei Leibnitz-Newton, folosind şi proprietatea de liniaritate a integralei, obţinem Math formula.

Observaţie:

Formula din enunţ se scrie:

Math formula

Propoziţia 2: Fie Math formula o funcţie continuă pe Math formula şi astfel încât în punctele Math formula şi Math formula are limite finite. Atunci Math formula este integrabilă pe Math formula.


Pagina 1 din 5 « Pagina anterioara        Pagina urmatoare »

Bibliografie


1. Manual pentru clasa a XII-a - Nastasescu C., Nita C., Grigore Gh., Burlacu D. - Editura: Didactica si Pedagogica
2. Manual pentru clasa a XII-a - Boboc N., Colojoara I. - Editura: Didactica si Pedagogica